在各种污染物中,抗生素近年来备受关注,在废水和植物中经常被检测到。氯霉素(Chloramphenicol, CAP)是一种具有良好抑菌效果的抗生素。2017年,世界卫生组织(WHO)下属的国际癌症研究机构(IARC)将CAP列为2A类致癌物。随后,在2019年,CAP被添加到食用动物的禁用药物和化合物清单中。然而,由于其低成本和可用性,CAP继续在某些生产过程中使用。因此,CAP残留物可以通过排泄滞留在环境水中,并在动物源性食品中积累。这些残留物最终可通过食物链进入人体,过量的CAP暴露可能导致胃肠道紊乱和骨髓抑制。因此,开发一种高灵敏度和高效的方法来监测各种基质中的CAP浓度至关重要。
2025年2月5日,湖南工业大学77779193永利官网刘军副教授课题组在《合金化合物杂志》(Journal of Alloys and Compounds)杂志在线发表了题为“1D/2D氧化锡/氧化石墨烯复合材料修饰的GCE高灵敏度非酶电化学测定氯霉素(1D/2D SnO2/rGO composites-modified GCE for highly sensitive nonenzymatic electrochemical determination of chloramphenicol)”的研究论文。
该论文采用一维/二维(1D/2D)SnO2/还原氧化石墨烯(rGO)复合材料对玻璃碳电极(GCE)进行修饰,用于CAP的电化学检测。通过溶液反应和煅烧法制备了SnO2/还原氧化石墨烯复合材料。系统地研究了最佳电化学传感条件,包括pH值、扫描速率和积累参数,以证明其可行性。所得SnO2/rGO/GCE的电流密度达到154.56 μA/cm²,比其他改性电极高75倍。结果表明,SnO2/rGO/GCE在0.001 ~ 100 μM的检测范围内呈良好的线性关系,对CAP的检测限为0.315 nM。最后,将优化后的电极成功应用于真实湖水和牛奶样品中CAP的检测。这些有希望的结果表明,制备的SnO2/rGO电极为CAP检测提供了一种新颖而高效的方法。

图1所示为提议的SnO2/rGO/GCE的制备工艺路线及相应的CAP的电化学检路线。

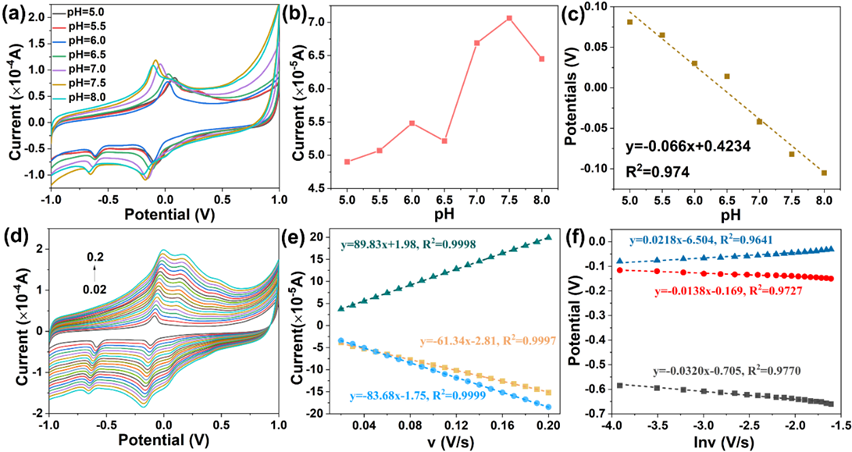
图2所示(a)不同pH值下SnO2/rGO/GCE与CAP的CV结果;(b)峰值电流与pH值的对应关系;(c) pH值、电极电位与CAP的线性关系;(d)不同扫描速率下SnO2/rGO/GCE与CAP的典型CV;(e)扫描速度与峰值功率的关系;(f)扫描速率的纳皮尔对数与峰电位的线性关系。
77779193永利官网刘军副教授和杨纯副教授为论文的共同通讯作者;77779193永利官网21级本科生李永康和任斐桐为本论文共同第一作者。77779193永利官网“生物医学纳米材料与器件”湖南省重点实验室平台为该工作提供了技术支持。该工作得到了国家自然科学基金委、湖南省自然科学基金委等方面的资助。
原文链接:https://www.sciencedirect.com/science/article/abs/pii/S0925838825001951